II Всероссийская конференция пользователей MATLAB, 25-26 мая 2004 года >>
На первую страницу
Рубрика Matlab&Toolboxes
Российские MATLAB-разработки
Вход
Раздел "Проектирование систем управления\Control System Toolbox"

Е.В.Никульчев. Пособие "Control System Toolbox"
Описание динамических систем в пространстве состояний

  В оглавление книги \ К следующему разделу \ К предыдущему разделу

Пример

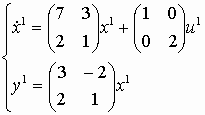
Даны три линейные стационарные системы:

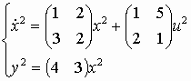
1. ;

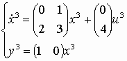
2. ;

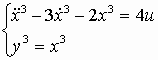
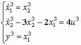
3. ;

и структурная схема соединения систем:

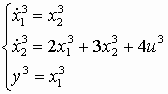
1. Приведем систему 3 к виду (1), для этого введем переменные

;

и, подставляя их в исходные уравнения, получим –

; ; .

2. Создадим матрицы первой системы –

>> A1=[7 3;2 1]
B1=[1 0; 0 2]
C1=[3 -2; 2 1]

A1 =
     7     3
     2     1

B1 =
     1     0
     0     2

C1 =
     3     -2
     2     1

Создавая, аналогично, матрицы двух других систем создадим ss-объекты:

>> A2=[1 2;3 2];
>> B2=[1 5; 2 1];
>> C2=[4 3];
>> A3=[0 1;2 3];
>> B3=[0; 4];
>> C3=[1 0];
>> s1=ss(A1, B1, C1,0)

a =
          x1     x2
     x1     7     3
     x2     2     1

b =
          u1     u2
     x1     1     0
     x2     0     2

c =
          x1     x2
     y1     3     -2
     y2     2     1

d =
          u1     u2
     y1     0     0
     y2     0     0

Continuous-time model.

>> s2=ss(A2, B2, C2,0)

a =
          x1     x2
     x1     1     2
     x2     3     2

b =
          u1     u2
     x1     1     5
     x2     2     1

c =
          x1     x2
     y1     4     3

d =
          u1     u2
     y1     0     0

Continuous-time model.

>> s3=ss(A3, B3, C3,0)
a =
          x1     x2
     x1     0     1
     x2     2     3

b =
          u1
     x1     0
     x2     4

c =
          x1     x2
     y1     1     0

d =
          u1
     y1     0

Continuous-time model.

3. Исследуем наблюдаемость и управляемость каждой системы, для чего построим соответствующие матрицы и посчитаем их ранги –

>> rank(obsv(A1,C1))
ans =

     2

>> rank(ctrb(A2,B2))
ans =

     2

>> rank(obsv(A2,C2))
ans =

     2

>> rank(ctrb(A3,B3))
ans =

     2

>> rank(obsv(A3,C3))
ans =

     2

Видно, что во всех случаях ранги матриц управляемости и наблюдаемости совпадают с размерностями пространства состояний.

4. Получим систему, определяемую соединением.

Для корректного использования функции connect введем дополнительную систему, передаточная функция которой равна 1.

>> s4 = tf(1)

Transfer function:

1

>> sys=append(s1,s2,s3,s4);
>> Q=[2 -4 5; 3 1 0; 4 2 0; 5 2 0];
>> in=[1 5];
>> out=[3 4];
>> s_com=connect(sys,Q, in,out);

Обращаясь к данным объекта, можно получить матрицы А, В, С:

>> A=s_com.A;
>> B=s_com.B;
>> C=s_com.C;

4. Вычислим ранги матриц наблюдаемости и управляемости итоговой системы:

>> rank(ctrb(A,B))
ans =

     6

>> rank(obsv(A,C))
ans =

     6

Результаты показывают, что система управляема и наблюдаема.

 В оглавление книги \ К следующему разделу \ К предыдущему разделу


О получении локальных копий сайтов
  Всероссийская научная конференция "Проектирование научных и инженерных приложений в среде MATLAB" (май 2002 г.)
На первую страницу \ Сотрудничество \ MathWorks \ SoftLine \ Exponenta.ru \ Exponenta Pro   
E-mail:    
  Информация на сайте была обновлена 11.05.2004 Copyright 2001-2004 SoftLine Co 
Наши баннеры