II Всероссийская конференция пользователей MATLAB, 25-26 мая 2004 года >>
На первую страницу
Рубрика Matlab&Toolboxes
Российские MATLAB-разработки
Вход
Раздел "Проектирование систем управления\Control System Toolbox"

Е.В.Никульчев. Пособие "Control System Toolbox"
Анализ и синтез САУ методом корневого годографа

  В оглавление книги \ К следующему разделу \ К предыдущему разделу

Краткие сведения из теории

В ряде случаев, имеющих практическое значение, модель линейной системы автоматического управления (САУ) задается в виде структурной схемы, состоящей из типовых звеньев, математическое описание которых задано в операторной форме. Связь между входом и выходом системы задается в виде передаточной функции W(s) [4]. B общем виде передаточную функцию W(s) можно представить в виде:

                                                                                                           (1)

где s – комплексная переменная, B(s) – полином степени m; A(s) – полином степени n.

Для физически реализуемых САУ m <= n. Коэффициенты указанных полиномов действительные числа.

Применение метода корневого годографа (КГ) обусловлено фундаментальной зависимостью поведения линейной САУ от полюсов и нулей ее передаточной функции. Под полюсами подразумеваются корни полинома - знаменателя A(s), а под нулями - корни полинома числителя B(s). Полином A(s) называется также характеристическим многочленом передаточной функции W(s).

Положение полюсов W(s) на комплексной плоскости определяет устойчивость САУ, а в совокупности с нулями вид импульсной переходной функции w(t) и переходной функции h(t).

Метод корневого годографа позволяет находить полюса и нули передаточной функции замкнутой системы, располагая полюсами и нулями разомкнутой системы при изменении коэффициента усиления разомкнутой системы k.

Передаточную функцию разомкнутой системы Wp(s) представим в виде:

,                                                                                                               (2)

где – нули передаточной функции Wp(s), (); полюса передаточной функции Wp(s), (), n  и m – порядки знаменателя и числителя; K - коэффициент усиления разомкнутой системы; C - коэффициент представления.

Передаточная функция разомкнутой системы, как правило, задается в виде отношения произведений передаточных функций стандартных (типовых) звеньев, при описании которых используются выражения трех видов:

Ts                                                                                                                                    (3)

Ts +1                                                                                                                               (4)

2s 2 + 2T z + 1                                                                                                             (5)

Здесь Т - постоянная времени [с].

Если выражения (3), (4), (5) стоят в знаменателе передаточных функций звеньев (в числителе 1), то звенья называются соответственно интегрирующим, апериодическим, колебательным. Для колебательного звена z - безразмерный коэффициент затухания (0< z <1). Если выражения (3), (4), (5) стоят в числителе передаточных функций звеньев (1), то звенья называются соответственно дифференцирующим, форсирующим первого порядка, форсирующим второго порядка.

Для перехода от стандартной формы записи к формуле (2) необходимо вычислить полюса и нули соответствующих типовых звеньев.

Для передаточных функций, использующих выражение (3) –

,                                                                                                                                         (6)

использующих выражение (4) –

,                                                                                                                                     (7)

использующих выражение (5) –

,                                                                                                         (8)

или

                                                                                                                (9)

где j = arcsin z .

Коэффициент представления C вычисляется по формуле

                                                                                                                                     (10)

Для звеньев, использующих выражение (5), соответствующая постоянная времени входит в выражение (10) в квадрате.

При замыкании системы с передаточной функцией Wp(s) единичной обратной связью передаточная функция замкнутой системы Wз(s) принимает вид:

,                                                                                                                      (11)

где знак "+" соответствует отрицательной обратной связи; знак "–" соответствует положительной обратной связи.

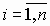
Структурная схема системы с обратной связью приведена на рис. 2.1.

 

Рис. 2.1. Структурная схема САУ

Из (11) следует, что нули передаточной функции замкнутой системы равны нулям передаточной функции разомкнутой системы.

Для определения полюсов замкнутой системы необходимо решить уравнение:

Wp(s) = – 1.                                                                                        (12)

Так как Wp(s) является функцией комплексного переменного s, то уравнение (12) распадается на два уравнения:

– уравнение модулей:

|W(s)|=1                                                                                                                                              (13)

– уравнение аргументов:

arg W(s) = ± (2u +1)p , u =0, 1, 2, …                                                                                                      (14а)

для отрицательной обратной связи и

arg W(s) = ± 2p , u =0, 1, 2, …                                                                                                                (14б)

для положительной обратной связи.

Уравнения (14) имеют наглядный геометрический смысл. Если точка s является полюсом замкнутой системы, то проведя в точку s вектора из всех нулей Wp(s) (обозначим аргументы этих векторов ) и вектора из всех полюсов Wp(s) (обозначим аргументы этих векторов ), уравнение (14а) можно записать в следующем виде:

u = 0, 1, 2, …                                                                              (15a)

а уравнение (14б) в виде:

, u = 0, 1, 2, …                                                                                             (15б)

Углы q отсчитываются от положительного направления действительной оси. Знак угла "+" соответствует повороту против часовой стрелки, знак угла "–" соответствует повороту по часовой стрелке.

Геометрическое место точек на комплексной плоскости “s”, удовлетворяющее выражениям (15а) и (15б) называется корневым годографом.

Как следует из (15), конфигурация корневого годографа не зависит от коэффициента усиления K, но каждому конкретному значению K однозначно соответствуют точки на корневом годографе.

Для определения этого соответствия достаточно воспользоваться уравнением (13) в следующей интерпретации:

,                                                                                                                             (16)

где – модуль (длина) вектора, проведенного из j-нуля в точку s   КГ; – модуль вектора, проведенного из i-полюса в ту же точку s.

Для систем небольшого порядка m, n <  5 - 7 построение КГ можно осуществлять “вручную” (с помощью транспортира и линейки).

Приведем свойства корневых годографов (случай отрицательной обратной связи):

1. Ветви корневого годографа непрерывны и расположены на комплексной плоскости симметрично относительно действительной оси.

2. Число ветвей КГ равно порядку системы n. Ветви начинаются в n полюсах разомкнутой системы при K = 0. При возрастании K от 0 до бесконечности полюса замкнутой системы двигаются по ветвям КГ.

3. Отрезки действительной оси, по которым перемещаются действительные полюса замкнутой системы являются действительными ветвями корневого годографа. Эти ветви находятся в тех частях действительной оси, справа от которых расположено нечетное общее число действительных полюсов и нулей разомкнутой системы.

4. m ветвей КГ при возрастании K от 0 до бесконечности заканчиваются в m нулях Wp(s), a (– m) ветвей при K, стремящемся к бесконечности, удаляются от полюсов вдоль асимптот.

5. Асимптоты в виде звезды из (– m) полупрямых выходят из точки с координатой

на действительной оси под углами

к действительной оси.

6. Угол выхода ветви КГ из полюса определяется из уравнения (15а), примененного к данному полюсу. Аналогично определяется угол входа ветви КГ в нуль .

7. При расположении ветвей корневого годографа в левой полуплоскости s САУ устойчива. При пересечении ветвей КГ мнимой оси слева направо САУ становится неустойчивой. Пусть при K = Kкр пересечение КГ с мнимой осью произойдет в некоторой точке iw кр. Назовем это значение коэффициента усиления критическим Kкр, а величину w   кр критической угловой частотой, на которой система становится неустойчивой.

Метод КГ позволяет выбрать коэффициент усиления САУ, подобрать расположение полюсов и нулей передаточной функции корректирующих звеньев, определить параметры доминирующих полюсов САУ (ближайших к началу координат плоскости s).

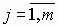
В качестве примеров, приведем КГ для двух систем автоматического управления.

На рисунке 2.2а приведен корневой годограф САУ, передаточная функция разомкнутой системы, которой равна:

.

Рисунок 2.2б иллюстрирует КГ САУ с передаточной функцией разомкнутой системы вида:

.


а)

б)

Рис.2.2. Примеры корневых годографов

  В оглавление книги \ К следующему разделу \ К предыдущему разделу


О получении локальных копий сайтов
  Всероссийская научная конференция "Проектирование научных и инженерных приложений в среде MATLAB" (май 2002 г.)
На первую страницу \ Сотрудничество \ MathWorks \ SoftLine \ Exponenta.ru \ Exponenta Pro   
E-mail:    
  Информация на сайте была обновлена 11.05.2004 Copyright 2001-2004 SoftLine Co 
Наши баннеры