II Всероссийская конференция пользователей MATLAB, 25-26 мая 2004 года >>
На первую страницу
Рубрика Matlab&Toolboxes
Российские MATLAB-разработки
Вход
Раздел "Femlab"

Femlab 2.3. Руководство пользователя (перевод с английского с редакторской правкой В.Е.Шмелева):
1.6. Краткий обзор PDE-моделей в системе FEMLAB

В оглавление книги \ К следующему разделу \ К предыдущему разделу

1.6.2. Интерпретация коэффициентов PDE

К специальным переменным относятся время t, собственное значение lambda и фаза phase.

Время

При моделировании процессов, зависящих от времени, доступна для использования переменная t - время. Переменная t может быть частью любого выражения при задании граничных условий, коэффициентов PDE и параметров материальных свойств. Время можно выбирать и в постпроцессорной обработке. Время - всегда скалярная величина. В диалоговом окне Plot Parameters в закладке General есть ниспадающее меню Solution at time, с помощью которого можно выбрать из списка момент времени визуализации решения. Выбор момента времени всегда дискретный. Список моментов времени, доступных для визуализации и постпроцессорной обработки, всегда совпадает со списком, задаваемым в диалоговом окне Solver Parameters в закладке Timestepping (строка редактирования Output times).

В средствах визуализации решения в сечениях расчётной области время также доступно для использования. В линейных сечениях возможно добавление оси времени (третьей осью) в график решения. Для этого в диалоговом окне Cross-Section Plot Parameters в закладке General в ниспадающем меню Solution at time надо выделить нужные (или все) моменты времени, затем в закладке Line установить флажок Connect lines to surface, выбрать нужное линейное сечение и нажать кнопку OK. В результате в отдельной фигуре MATLAB будет построен требуемый трёхмерный график. При визуализации решения в точечных сечениях двумерные временные графики в отдельных фигурах MATLAB строятся автоматически.

Использование времени в языке программирования

При работе в командном окне MATLAB выбор времени решения управляется ключевым параметром Solnum функций постпроцессорной обработки FEMLAB: posteval, postinterp, postint и др. Этот ключевой параметр задаётся равным номеру элемента в списке моментов времени моделирования. Значения переменных решения задачи можно получить только для тех моментов времени, которые представлены в списке и только с помощью ключевого параметра Solnum. Ни в какие другие моменты времени получить значение решения средствами пакета FEMLAB невозможно. (Это можно сделать в системе MATLAB, например, с помощью интерполяции). В функциях постпроцессорной обработки есть также ключевой параметр T, с помощью которого можно явно указывать значения времени. Однако этот ключевой параметр может воздействовать только на выражения, где явно присутствует время t. Значение времени для решения задачи этот параметр задавать не может.

Переменная собственного значения

Задачи о собственных значениях определены подобно нестационарным задачам. FEMLAB заменяет в них производную по времени на , где - собственное значение, и исключает члены с первичными источниками. Таким образом, задача на собственные значения формулируется в следующем виде:

(1.6.11.1)

(1.6.11.1) может быть одним PDE или системой PDE. В первом случае u - скалярная переменная, коэффициенты a, da - скаляры, , - векторы, c - тензор второй валентности. В последнем случае u - столбцовая матрица скалярных переменных, a, da - квадратные матрицы скалярных коэффициентов, , - матрицы векторных коэффициентов, c - квадратная матрица тензоров второй валентности.

В случае системы двух скалярных PDE

.

Элементы последней столбцовой матрицы являются переменными FEMLAB dau1, dau2.

Переменная собственного значения lambda - скаляр, доступный для использования только в режиме постпроцессорной обработки. Выбор между собственными значениями в GUI femlab возможен из списка Eigenvalue, который есть в каждом из диалоговых окон, раскрываемых по команде меню группы Post. Значение переменной lambda будет соответствовать выбору, сделанному в списке Eigenvalue. При работе в командном окне MATLAB выбор собственных значений управляется ключевым параметром Solnum так же, как и в нестационарных задачах. Для подробностей см., например, функцию posteval.

Фаза

Все физические прикладные режимы моделирования гармонически изменяющихся во времени полей основаны на решении PDE в комплексной (пространственно-частотной) форме. В этих прикладных режимах PDE решается относительно комплексной амплитуды или комплексного действующего значения поля.

Пусть в некоторой точке наблюдения Q некоторое скалярное поле u(Q,t) изменяется во времени по гармоническому закону:

(1.6.11.2)

или при выборе другой системы отсчёта фаз:

(1.6.11.3)

где Um(Q) - амплитуда гармонического колебания в точке наблюдения Q; - начальная фаза этого же колебания; U|m(Q), U||m(Q) - частные амплитуды колебания. В России в электротехнических расчётах за основу принята форма (1.6.11.2). Во всех остальных областях знаний (а также за рубежом во всех областях знаний) за основу принята форма (1.6.11.3).

Тогда комплексной амплитудой гармонического скалярного поля u(Q,t) называется скалярное поле , где j - мнимая единица. Последняя формула устанавливает взаимно-однозначное соответствие между функцией пространства и времени u(Q,t) и пространственным распределением её комплексной амплитуды . Эта формула осуществляет переход от пространственно-временной к пространственно-частотной форме описания гармонического поля. Существует и обратный переход в пространственно-временную область:

(1.6.11.4)

или при выборе другой системы отсчёта фаз:

(1.6.11.5)

Здесь символом * обозначена операция комплексного сопряжения. Формула (1.6.11.4) соответствует форме (1.6.11.2), а формула (1.6.11.5) соответствует форме (1.6.11.3).

Попытка визуализации комплекснозначного поля в системе FEMLAB приводит к графическому отображению его действительной части, которая в форме (1.6.11.3) равна значению гармонически изменяющейся величины в момент времени t = 0. В диалоговом окне Plot Parameters (закладка General) есть строка редактирования Solution at angle (phase). Туда можно вписать значение переменной phase (в градусах). Все переменные решения и их производные автоматически умножаются на exp(1i*phase), и графически отображается действительная часть полученной величины. Остальные переменные (например, f) не умножаются на этот комплексный коэффициент, умножение на него в случае необходимости нужно записывать в выражениях явно. При работе с командным окном MATLAB значение переменной phase для постпроцессорной обработки задаётся с помощью ключевого параметра Phase соответствующих функций пакета FEMLAB (например, posteval, postinterp, postint).

Рассмотрим простой пример. Навигатором моделей выберем прикладной режим 2D/ PDE Modes/ Coefficient/ Linear stationary. Нарисуем расчётную область - прямоугольник -
-1<=x<=1, -0.6<=y<=0.6. В диалоговом окне Subdomain Settings зададим c=1, f=exp(2i*pi*x). Построив сетку и решив задачу, визуализируем переменную u. Получится картина, изображённая на рис. 1.92.


Рис. 1.92. Картина скалярного поля u при phase=0

Теперь, выполняя команду меню Post/ Plot Parameters, раскроем диалоговое окно Plot Parameters. В закладке General этого окна в строку редактирования Solution at angle (phase) впишем число 90. Нажатие кнопки OK приведёт к формированию картины, изображённой на рис. 1.93. На этой картине отчётливо видно, что максимум функции переместился из x=0 в x=-0.25. Это означает, что переменная решения автоматически умножилась на exp(1i*pi/2), что соответствует увеличению начальной фазы решения на 90 градусов.

Теперь проделаем то же самое с визуализацией правой части PDE - переменной f. Это можно сделать с помощью закладок Surface и Contour диалогового окна Plot Parameters. Легко убедиться, что картина поля не меняется при изменении значения переменной phase (рис. 1.94).


Рис. 1.93. Картина скалярного поля u при phase=90 градусов


Рис. 1.94. Картина скалярного поля f при любом значении переменной phase

Теперь в строки редактирования Surface expression и Contour expression диалогового окна Plot Parameters впишем выражение f*exp(1i*phase). В закладке General переменной phase присвоим значение 90 градусов. Нажатие кнопки OK приведёт к построению картины, изображённой на рис. 1.95. На этой картине также отчётливо видно смещение максимумов и минимумов функции влево на 0.25. Теперь и здесь интерпретация переменной phase работает правильно.


Рис. 1.95. Картина скалярного поля f*exp(1i*phase) при phase=90 градусов

Выражение произведения гармонических функций через их комплексные амплитуды

Необходимость выполнения такого рода вычислений чаще всего бывает связана с расчётом энергетики гармонически изменяющихся процессов (мгновенных мощностей и энергий). Пусть два гармонических процесса u(t) и v(t) представлены в форме (1.6.11.3) (точку наблюдения Q для краткости записи из аргументов функций исключим). Тогда их произведение можно записать в виде

.

В математике известно следующее соотношение для комплексных чисел:

.

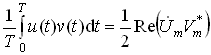
Из всего этого следует, что

В итоге получено выражение, связывающее мгновенные значения произведения двух гармонически изменяющихся величин с их комплексными амплитудами. Среднее за период значение произведения двух гармонических величин можно вычислить по формуле . Чаще всего это бывает нужно при расчёте активных мощностей гармонических процессов, в т.ч. и на пространственно-распределённом уровне.

В оглавление книги \ К следующему разделу \ К предыдущему разделу


О получении локальных копий сайтов
  Всероссийская научная конференция "Проектирование научных и инженерных приложений в среде MATLAB" (май 2002 г.)
На первую страницу \ Сотрудничество \ MathWorks \ SoftLine \ Exponenta.ru \ Exponenta Pro   
E-mail:    
  Информация на сайте была обновлена 11.05.2004 Copyright 2001-2004 SoftLine Co 
Наши баннеры